Learning Human-Robot Interaction
- Infer Human Intent
- Image recognition/Natural Language processing
- Build computational models of human
- Interaction Aware Planning and Control
- Assistive human behavior
- Adversarial human behavior
- How robots influence human behavior
- Evolvement of robot/human behvior
- Societal Implications
- Autonomous Driving
- Service Robots
Adversarial Human Behavior
Motivation
- Works exist for cooperative human
- In reality, people don't always act rationally
- Explore the idea of adversarial learning
Task Description
Goal: Planar grasping with robotic arm
- Input: RGB visual input
- Output: Grasping action
Pipeline Overview
- Object Detection
- Input: Image observation from sensor
- Output: Grasping position triplet <$x$,$y$,$\theta$>
- Inverse Kinematic Control
- Input: Destination location and angle
- Output: Control params for controllers
- Human Interaction
- If grasping fails: Reset environment
- If grasping succeeds: Apply human perturbation
- Training/Inference
- Input: reward
- Apply: grasping policy update
Problem Formulation
Illustration of Human-robot Interaction
- $s \in S$: state of the world
- Perform grasping based on $s$
- State transition: $\mathcal{T}:S \times A^R \rightarrow \Pi(S^{+})$
- $\pi^H:(s^{+},a^H)$: human action leads to $s^{++}$
- $r:(s, a^R, s^+, a^H, s^{++}) \mapsto r$: Reward
Human Adversary
Adversarial setting: the robot attempts to maximize $r$, while the human wishes to minimize it
Reward design:
$r = R^{R}(s, a^R, s^+) - \alpha R^{H}(s^+, a^H, s^{++})$
- $R^{R}(s, a^R, s^+)$: Reward received in absence of adversary
- $R^{H}(s^+, a^H, s^{++})$: Penalty induced by human action
Training Objective
Goal: Develop a policy $\pi^R:s \mapsto a_t^R$ that maximizes:
$\pi_*^R = argmax_{\pi^R}~{E} \left[r(s, a^R, a^H) \vert \pi^H \right]$
- $\pi^H$: Human adversarial action
- $\pi^R$: Robot action
Algorithm Pipeline
Goal: Develop a policy $\pi^R:s \mapsto a_t^R$ that maximizes:

Learning Robot-World Interaction
- Representation Learning
- How to represent object-centric features?
- How to extract relation-centric features?
- World Modelling
- How to leverage world model?
- Interaction Modelling
- How to model object-object interaction?
- How to predict long-term effect?
Physical Inference: Model interaction and the world then use the world model for inference
An Example
A ball slides into a cube from an external force
What's physical inference
Physical prediction about the future from observations of the past
- Future prediction: interaction, trajectory
- Past observation: visual sequences
Extend naturally to control, planning and inference
One typical pipeline
Imagine
that a robot needs to push a cup of coffee across the table
to give it to a human.
- Segment an observed point cloud into objects
- Fit a 3D model to each object segment
- Execute physics simulator using physical estimates
- Choose action to move cup to desired location
Problem of above pipeline
- Cannot generalize to unseen objects (due to step 2)
- Can break down when one stage has large error
- Compounding error from previous stages
- Require accurate physical estimates (due to step 3)
A small error in the estimated liquid
content in the cup or the friction coefficient might cause the
robot to push it too high above its center of mass, causing
the contents to spill.
Motivation
Is it possible to replace the hand-engineered robotic
manipulation pipeline with a single general-purpose, learned
model that connects low-level perception with physical prediction?
Benefits
- No accurate estimate of physical parameters
- Can generalize to unseen objects
- Foundation for model-based control and learning
Summary (Physical Inference)
- Mimic human ability in reasoning physical interaction
- Lay a foundation for down-stream tasks (reinforcement learning)
Object/Interaction modelling Framework
Motivation
- Learn object features
- Learn object relations
- Learn system features
Definition
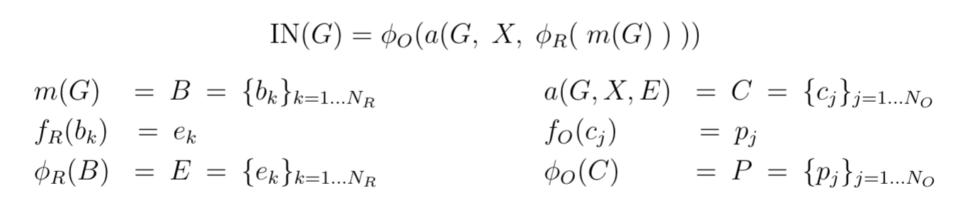
Graph representation: $G = \langle O,R \rangle$, where the nodes, $O$, correspond to the objects, and the edges, $R$,
to the relations.
![]()
- $b_k = \langle o_i, o_j, r_k \rangle \in B$,
one per relation, which correspond to each interaction's receiver,
sender, and relation attributes.
- The relational model, $\phi_R$,
predicts the effect of each interaction, $e_k \in E$.
- The aggregation function, $a$, collects all
effects, $e_k \in E$, that apply to each receiver object, merges them,
and combines them with $O$ and $X$ to form a set of object model
inputs, $c_j \in C$, one per object.
- The object model, $\phi_O$,
predicts how the interactions and dynamics influence the objects by
applying $f_O$ to each $c_j$, and returning the results, $p_j \in
P$.
Implementation
- $O$ is represented as a $D_S \times N_O$ matrix
- The relations are a
triplet, $R=\langle R_r, R_s,R_a \rangle$, where $R_r$ and $R_s$ are
$N_O \times N_R$ binary matrices. $R_a$ is a $D_R \times N_R$ matrix.
- The $X$ is a $D_X \times N_O$ matrix
- The marshalling function, $m$, computes the matrix products, $O R_r$
and $O R_s$, and concatenates them with $R_a$: $ m(G) \; = \; [ O R_r ; O R_s; R_a] \; = \; B$ . The resulting $B$ is a $(2 D_S + D_R) \times N_R$ matrix
- The $B$ is input to $\phi_R$, which applies $f_R$, an MLP, to each
column. The output of $f_R$ is a $D_E$-length vector, $e_k$, a
distributed representation of the effects. The $\phi_R$ concatenates
the $N_R$ effects to form the $D_E \times N_R$ effect matrix, $E$.
- The $G$, $X$, and $E$ are input to $a$, which computes the $D_E \times
N_O$ matrix product, $\bar{E} = E R_r^T$. The $\bar{E}$ is concatenated with
$O$ and $X$: $a(G, X, E) \; = \; [ O ; X; \bar{E}] \; = \; C$.
- The $C$ is input to $\phi_O$, which applies $f_O$, another MLP, to
each of the $N_O$ columns.
Results
![]()
Courtesy to Battaglia, P., Pascanu, R., Lai, M., & Rezende, D. J.et.al 2016
Learning relations in a Graph
![]()
Pipeline Overview
- Build graph of an object using kinematic tree
- Model interaction effect with message passing propagation
- Update node info with node+adjacent edge+graph feature
- Update edge info with end-node+edge+graph feature
- Update graph info with node+edge+graph feature
Courtesy to Sanchez-Gonzalez, A., Heess, N., Springenberg, J. T., Merel, J., Riedmiller, M., Hadsell, R., & Battaglia,P.et.al 2018
Learning Motion Dynamics
![]()
Pipeline Overview
- Learn $\{SO_3,t\} \in SE3$ for rigid transformation
- Learn mask for component-wise segmentation
Courtesy to Byravan, Arunkumar, and Dieter F.et.al 2017
What can we do with the model?
![]()
Pipeline Overview
- Visual 3D indoor navigation
- Generate trajectories based on model prediction
- Complement model-free method
Courtesy toWang, X., Xiong, W., Wang, H., & Yang Wang, W. 2018.